Activities - Applied Organic Chemistry
Activities Bård Helge Hoff
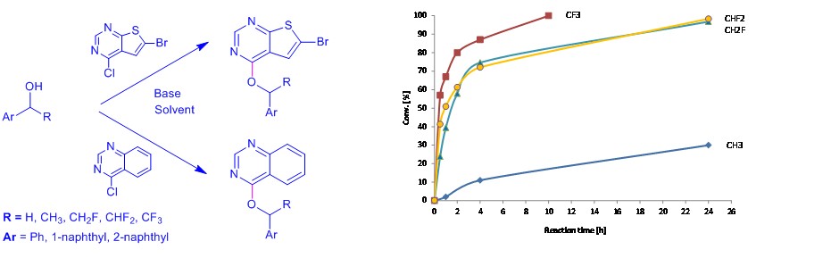
Kinase inhibitors for cancer therapy
The group is developing new kinase inhibitors for cancer treatment based on pyrrolo- thieno -and furopyrimidine scaffolds. Main focus has been on the epidermal growth factor receptor tyrosine kinase, which is often amplified or overexpressed in various tumours. The candidate compounds are characterised by enzymatic and cellular assays. Molecular modelling is used to plan the projects and to aid understanding of structure-activity relationships.

Light harvest with organic molecules
The group has started research into design of new dyes for dye-sensitised solar cells (DSSC). The work is done in collaboration with Associate Professor Odd Reidar Gautun, Professor Bjørn Alsberg and Professor Svein Sunde.

We also have a strong interest in asymmetric transformation using both metal catalysis and enzymes.
Publications
- J. Han, S. Henriksen, K.G. Nørsett, E. Sundby, B.H. Hoff, Balancing potency, metabolic stability and permeability in pyrrolopyrimidine-based EGFR inhibitors, Eur. J. Med. Chem., 124 (2016) 583-607.
- J. Han, S.J. Kaspersen, S. Nervik, K.G. Nørsett, E. Sundby, B.H. Hoff, Chiral 6-aryl-furo[2,3-d]pyrimidin-4-amines as EGFR inhibitors, Eur. J. Med. Chem, 119 (2016) 278-2799.
doi:10.1016/j.ejmech.2016.04.054

-
S. Bugge, A. F. Buene, N Jurisch-Yaksi, I. U. Moen, E. M. Skjønsfjell, E. Sundby, B.H. Hoff, Extended structure-activity study of thienopyrimidine-based EGFR inhibitors with evaluation of drug-like properties, Eur.J.Med.Chem. 107 (2016) 255-274. doi:10.1016/j.ejmech.2015.11.012

- S. Haghdani, B.H. Hoff, H. Koch, P.-O. Åstrand, Optical Rotation Calculations for Fluorinated Alcohols, Amines, Amides, and Esters, J. Phys. Chem. A, 120 (2016) 7973-7986.
- E. Sundby, J. Han, S.J. Kaspersen, B.H. Hoff, In vitro baselining of new pyrrolopyrimidine EGFR-TK inhibitors with Erlotinib, Eur.J.Pharm.Sci. 80 (2015) 56-65. doi:10.1016/j.ejps.2015.08.003

- S. Bugge, I.U. Moen, K.O. Kragseth Sylte, E. Sundby, B.H. Hoff, Truncated structures used in search for new lead compounds and in a retrospective analysis of thienopyrimidine-based EGFR inhibitors, Eur.J.Med.Chem. 94 (2015) 175-194.

- M. Karlsen, H.L. Liu, J.E. Johansen, B.H. Hoff, Synthesis of [13C4]-labeled D9-tetrahydrocannabinol and 11-nor-9-carboxy- D9-tetrahydrocannabinol as internal standards for reducing ion supressing/alteration effects in LC/MS-MS quantification, Molecules 19 (2014) 13526-13540.

- M. Karlsen, H.L. Liu, J.E. Johansen, B.H. Hoff, Economical synthesis of 13C-labelled opiates, cocaine derivatives and selected urinary metabolites by derivatisation of the natural products, Molecules 20 (2015) 5329-5345.

- T.A. Gulbrandsen, I.A. Johnsen, Opedal M.T., T. Tsuruo, K. Øyaas, A. Pranovich, J.-P. Mikkola, B.H. Hoff, Extracting hemicelluloses from softwood and bagasse as oligosaccharides using pure water and microwave heating, Cellulose Chem.Technol. 49 (2015) 117-126.
- S. Bugge, E.M. Skjønsfjell, F.B. Willumsen, E. Sundby, B.H. Hoff, Improved and scalable preparation of 6-bromo-4-chlorothieno[2,3-d]pyrimidine, Chem.Heterocylic Comp. 50 (2014) 1177-1187.
- S. J. Kaspersen, J. Han, K. G. Nørsett, L. Rydså, E. Bugge S. Kjøbli, G. Bjørkøy, E. Sundby, and B. H. Hoff. Identification of new 4-N-substituted 6-aryl-7H-pyrrolo[2,3-d]pyrimidine-4-amines as highly potent EGFR-TK inhibitors with Src-family activity. Eur.J.Pharm.Sci. 59 (2014), 69-82.

- M. Karlsen, H. L Liu, J. E. Johansen, and B. H Hoff. Synthesis of [13C6]-labelled phenethylamine derivatives for drug quantification in biological samples, J. Lab.Comp. Radiopharm. 57 (2014) 378-387.

- S Bugge, S. J. Kaspersen, S. Larsen, U. Nonstad, G. Bjørkøy, E. Sundby, and B. H. Hoff. Structure-activity study leading to identification of a highly active thienopyrimidine based EGFR inhibitor. Eur.J.Med.Chem., 75 (2014) 354-374.

- Hoff, B.H., Sundby, E., Preparation of Pharmaceutical Important Fluorinated 1-Arylethanols Using Isolated Enzymes, Bioorg. Chem. 51 (2013) 31-47.

- Thvedt, T.H.K., Kaasa, K., Sundby, E., Charnock, C., Hoff, B.H. Chiral N-benzyl-N-methyl-1-(naphthalen-1-yl)ethanamines and their in vitro antifungal activity against C. neoformans, T.mentagrophytes and T. rubrum. Eur.J.Med.Chem. 68 (2013) 482-496.
- J. Han, E. Sundby, E., B.H. Hoff, Solvent selection in synthesis of 4-(1-arylfluoroethoxy) quinazolines and thienopyrimidines. J.Fluorine Chem. 153 (2013). 82-88.

- Rodionova, G., Hoff, B.H, Lenes, M., Eriksen, Ø., Gregersen, Ø. Gas-phase esterification of microfibrillated cellulose (MFC) films. Cellulose 20 (2013), 1167-1174.
- Bugge, S., Kaspersen, S. J., Sundby, E., Hoff, B. H. Route selection in the synthesis of C-4 and C-6 substituted thienopyrimidines. Tetrahedron 68 (2012), 9226-9233.

- Kaspersen.S.J, E. Sundby, C. Charnock, and B. H. Hoff. Activity of 6-aryl-pyrrolo[2,3-d]pyrimidine-4-amines to Tetrahymena. Bioorg. Chem. 44 (2012), 35-41.
- Esmurziev, A., Reimers, A., Andreassen, T., Simic, N., Sundby, E., Hoff, B.H. Benzoylated Uronic Acid Building Blocks and Synthesis of N-Uronate Conjugates of Lamotrigine. Molecules 17 (2012), 820-835.
- Thvedt, T.H.K., Kristensen, T.E., Sundby, E., Hansen, T., Hoff, B.H. Enantioselectivity, swelling and stability of 4-hydroxyprolinol containing acrylic polymer beads in the asymmetric reduction of ketones. Tetrahedron: Asymmetry 22 (2011), 2172-2178.

- Kaspersen, S. J., Sørum, C., Willassen, V., Fuglseth, E., Kjøbli, E., Bjørkøy, G., Sundby, E., and Hoff, B. H. Synthesis and in vitro EGFR (ErbB1) tyrosine kinase inhibitory activity of 4-N-substituted 6-aryl-7H-pyrrolo[2,3-d]pyrimidine-4-amines, . Eur.J.Med.Chem. 46 (2011), 6002-6014.

- Slungård, S.V., Krakeli, T. A, Thvedt, T. H.K., Fuglseth, E., Sundby, E., Hoff, B.H. Investigation into the enantioselection mechanism of ruthenium-arene-diamine transfer hydrogenation catalysts using fluorinated substrates, Tetrahedron 67 (2011) 5642-5650.

- Esmurziev, A.; Simic, N.; Sundby, E.; Hoff, B. H. Synthesis and Structure Elucidation of Benzoylated Deoxyfluoropyranosides. Carbohydr. Res. 29 (2010) 348-367.
- Lystvet, S. M.; Hoff, B. H.; Anthonsen, T.; Jacobsen, E. E. Chemoenzymatic synthesis of enantiopure 1-phenyl-2-haloethanols and their esters. Biocatal. Biotransform. 28 (2010) 272-278.
- Thvedt, T.H.K.; Fuglseth, E.; Sundby, E.; Hoff, B. H. Enantioenriched 1-aryl-2-fluoroethylamines. Efficient lipase-catalysed resolution and limitations to the Mitsunobu inversion protocol. Tetrahedron, 66 (2010) 6733-6743.
- Sørum. C., Simic, N., Sundby, E. Hoff, B.H., 1H,13C and 19F NMR data of N-substituted 6-(4-methoxyphenyl)-7H-pyrrolo[2,3-d]pyrimidin-4-amines in DMSO-d6Magn. Reson. Chem. 48 (2010) 244-248.
- Thvedt, T.H.K., Fuglseth, E., Sundby, E., Hoff, B.H. Microwave assisted fluorination: an improved method for side chain fluorination of substituted 1-arylethanones. Tetrahedron, 65 (2009) 9550-9556.

- Fuglseth, E., Ottherholt, E., Høgmoen, H., Sundby, E., Charnock, C., Hoff, B.H. Chiral derivatives of Butenafine and Terbinafine: synthesis and antifungal activity. Tetrahedron, 65 (2009) 9807-9813.
- Fuglseth, E., Sundby, E., Hoff, B.H. Ruthenium-catalysed asymmetric transfer hydrogenation of para-substituted a-fluoroacetophenones. J. Fluorine Chem., 130 (2009) 600-603.
- Esmurziev, A., Sundby, E., Hoff, B.H. Regioselective C-6 hydrolysis of methyl O-benzoyl-pyranosides catalyzed by Candida rugosa lipase. Eur. J. Org. Chem. (2009) 1592-1597.
- Esmurziev, A., Simic, N., Sundby, E., Hoff, B.H., (1)H and (13)C NMR data of methyl tetra-O-benzoyl-D-pyranosides in acetone-d(6). Magn. Reson. Chem. 47 (2009) 449-452.
- Fuglseth, E., Sundby, E., Bruheim, P., Hoff, B.H. Asymmetric reduction using (R)-MeCBS and determination of absolute configuration of para-substituted 2-fluoroarylethanols, Tetrahedron Asymmetry, 19 (2008) 1941-1946.
- Fuglseth, E., Krane Thvedt, T. H., Førde Møll, M., Hoff, B.H., Electrophilic and nucleophilic side chain fluorination of para-substituted acetophenones, Tetrahedron, 64 (2008) 7318-7323
- Fuglseth, E., Anthonsen, T., Hoff, B.H., New chiral building blocks from acetovanillone using lipase A and B from Candida antarctica. Tetrahedron: Asymmetry, 17 (2006) 1290-1295.
- Riise Moen, A., Hoff, B.H., Hansen, L.K., Anthonsen, T., Jacobsen, E. E.. Absolute configurations of monoesters produced by enzyme catalyzed hydrolysis of diethyl 3-hydroxyglutarate, Tetrahedron: Asymmetry, 15 (2004) 1551-1554.
- Jacobsen, E. E., Hoff, B.H., Riise Moen, A., Anthonsen, T., Enantioselective enzymatic preparation of chiral glutaric monocarboxylic acids and amides. J. Mol. Catal., B, 21 (2003) 55-58.
- Sundby, E., Andersen, M.M., Hoff, B.H., Anthonsen. T., Lipase Catalysed resolution and microbial reduction for obtaining enantiopure 1-(2-thienyl)alkanols. ARCIVOC, (2002) 76-84.
- Jakobsen, E.E., Hoff, B.H., Anthonsen, T. Enantiopure derivatives of 1,2-alkanediols: Substrate requirements of Lipase B from Candida antarctica. Chirality, 12 (2000) 654-659.
- Liu, H. L. Hoff, B.H., Berg, T.C., Anthonsen, T., Synthesis of the antistroke drug Lubelozole and its enantiomer. Lipase-catalyzed resolution of chiral building blocks. Chirality, 13 (2000) 135-139.
- Liu, H.L., Hoff, B.H., and Anthonsen, T., Chemoenzymatic synthesis of the non-tricyclic antidepressants Fluoxetine, Tomoxetine and Nisoxetine, J. Chem. Soc. Perkin Trans. (2000) 1-3.
- Liu, H.L., Hoff, B.H., Anthonsen, T., Chemo-enzymatic synthesis of Duloxetine and its enantiomers, Chirality, 12 (2000) 26-29.
- Hoff, B.H., Ljones, L., Rønstad, A., Anthonsen, T., Influence of substituents on enantiomeric ratio in transesterification of racemic C-3 synthons using lipase B from Candida antarctica, J. Mol. Cat. B., 8 (2000) 51-60.
- Hoff, B.H., Anthonsen, T., Gas chromatographic enantiomer separation of C-3 and C-4 synthons: Prediction of absolute configuration from elution order and enzymatic resolution, Chirality, 11 (1999) 760-767.
- Hoff, B.H., Anthonsen, T., Lipase-catalyzed resolution of esters of 4-chloro-3-hydroxybutanoic acid: effect of the alkoxy group and solvent on the enantiomeric ratio, Tetrahedron: Asymmetry, 10 (1999) 1401-1412.
- Anthonsen, T., Hoff, B.H., Hofsløkken, N., U., Skattebøl, L., Sundby, E., Synthesis of 1,3-dithinaes and 1,3-dithiolanes. Bakers yeast reduction and lipase-catalysed resolution for synthesis of enantiopure derivatives, Acta Chem. Scand., 53 (1999) 360-365.
- Anthonsen, T., Hoff, B.H., Resolution of derivatives of 1,2-propandiol with lipase B from Candida antarctica Effect of substrate structure, medium, water activity and acyl donor on enantiomer ratio, Chem. Phys. of Lipids, 93 (1998) 199-207.
- Hoff, B.H., Anthonsen, H.W., Anthonsen, T., The enantiomer ratio strongly depends on the alkyl part of the acyl donor in transesterification with lipase B from Candida antarctica, Tetrahedron: Asymmetry, 7 (1996) 3187-3192.
- Hoff, B.H., Waagen, V., Anthonsen, T., Resolution of 1-phenoxy-, 1-phenylmethoxy- and 1-(2-phenylethoxy)-2-propanol and their butanates by hydrolysis with lipase B from Candida antarctica, Tetrahedron: Asymmetry, 7 (1996) 3181-3186.
- Anthonsen, H.W., Hoff, B.H., Anthonsen, T., Calculation of Enantiomer Ratio and Equilibrium Constants in Biocatalytic Ping Pong Bi-Bi resolutions, Tetrahedron: Asymmetry, 7 (1996) 2633-2638.
- Anthonsen, H.W., Hoff, B.H., Anthonsen, T., A simple method for calculating enantiomer ratio and equilibrium constants in biocatalytic resolutions, Tetrahedron: Asymmetry, 6 (1995) 3015-3022.